I (Dhruv) am running a series of seminars on Global Wellbeing and wanted to save this thread in an easier to read and access format for participants.
Thread
Much-tweeted paper “Experienced well-being rises with income, even above $75,000 per year”. I’m a happiness researcher. I explain why the title should be “Money barely increases happiness (unless you really value money, and even then not by much)” https://pnas.org/content/118/4/e2016976118.
Their main finding was that positive and negative ‘affect’ (aka ‘mood’ aka ‘happiness’) is basically flat after $75k household income even though overall life evaluation keep improving.
Two key details: (1) they asked people about their happiness yesterday, ie used remembered happiness (2) the x-axis is logarithmic, so each step is twice as big as the last (a bit like Richter scale for earthquakes) so money matters less the more you have. Which makes sense.
Okay. To the new paper. It has some major methodological improvements over KD (2010). It uses a smartphone app to ask people how they feel right now (no memory issues), has multiple observations per person, and uses a continuous scale (rather than just Yes/No—greater precision).
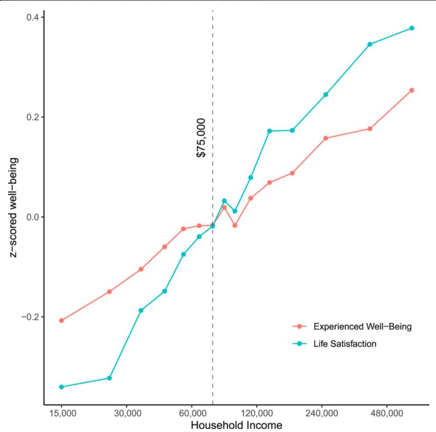
Its headline finding is that happiness and life satisfaction increase past $75k household income. Note it’s a straight line, but (again) a plot of the relationship between happiness and log(income). But, nevertheless impressive, non?
Here are some (mistaken) conclusions one might draw: (1) money makes a big difference to happiness (2) you should go work at @GoldmanSachs to become happier (a consequence of (1)).
The X-axis spans a huge range - $15k to $480k—and the changes in the Y-axis are tiny. They are reported in ‘z-scores’. z-score of 1 means a 1 ‘standard deviation’ increase. This is how social scientists talk but both terms are meaningless unless you are familiar with statistics.
A doubling of income is associated with nearly a 0.1 standard deviation increase in happiness. In plain English, that’s tiny increase. Something you’d barely notice. @jonaslindeloev has an excellent thread [Dhruv: and blog post] on this.
But there’s more. Here’s the same headline graph, but plotting the relationship between z-score changes in well-being and income NOT using a log scale—courtesy of my colleague @JoelMcGuire12 at @HappierLivesIns—not so impressive anymore, am I right?
The paper also explores if the headline increase in happiness is caused by more positive feelings or fewer negative feelings and conducted a more detailed analysis using a smaller sample. But if you look at the last three points on fig. 2, there is no improvement after $240k.
You might think “okay, so $240k household income is the limit, not $75k, that’s my new target”. But here’s the kicker, what all the other twitter discussions I’ve seen have missed: the data indicate that money by itself makes almost no difference.
The study also asked people “To what extent is money important to you?” and found that was much more important than money itself: money has a much bigger effect on happiness if you *think* money is important (although the effect is still small). Quote:
There was also evidence that the strength of the association between income and experienced well-being was systematically larger for some people and smaller for others. The importance of money, measured with the question “To what extent is money important to you?,” was only modestly related to income (r = 0.12, P < 0.00001) yet had a sizable statistical interaction with income in predicting experienced well-being (P < 0.00001). Based on the size of the interaction term, results estimate that the association between income and experienced well-being was over four times as steep when comparing people 1 SD above vs. 1 SD below the mean in money importance (b+1SD = 0.149 vs. b−1SD = 0.035). Whether people who rate money as relatively unimportant simply do not care about money, have found that “the best things in life are free,” or have tried and failed to spend money to improve their lives is unclear, but this result shows that there is something systematic causing income to matter more for some people’s well-being than for others. The importance of money on its own was virtually unrelated to experienced well-being (r = 0.02, P = 0.06), so it was not better or worse overall to think money was important; instead, low earners were happier if they thought money was unimportant and high earners were happier if they thought money was important. A question that asked participants “To what extent do you think money is indicative of success in life?” similarly showed that the association between income and well-being was steeper for people who equated money and success (P < 0.00001). Unlike money importance, however, the more people equated money and success, the lower their experienced well-being was on average (P < 0.00001), and there did not appear to be any income level at which equating money and success was associated with greater experienced well-being. Detailed results for these and other mediators and moderators are available in SI Appendix, including SI Appendix, Tables S5 and S6.
AND it found people who equate success with money are less happy. Hence, the conclusion is misleading. Better to say that money makes very little difference, except for those who think it does—and even for then it’s still small. Don’t go to @GoldmanSachs unless you want to!
One suggestion is that people help others more for their own happiness. On top of the personal benefit, I think there’s a strong ethical case for helping, and doing the most good when you do. If those interested, see the #effectivealtruism movement: https://effectivealtruism.org
Money barely increases happiness (unless you really value money, and even then not by much)
Link post
Context
I (Dhruv) am running a series of seminars on Global Wellbeing and wanted to save this thread in an easier to read and access format for participants.
Thread
Much-tweeted paper “Experienced well-being rises with income, even above $75,000 per year”. I’m a happiness researcher. I explain why the title should be “Money barely increases happiness (unless you really value money, and even then not by much)” https://pnas.org/content/118/4/e2016976118.
First, context. In 2010, two (now) Nobel Laureates @kahneman_daniel and @DeatonAngus publish “High income improves evaluation of life but not emotional well-being” using survey of 450,000 Americans.
Their main finding was that positive and negative ‘affect’ (aka ‘mood’ aka ‘happiness’) is basically flat after $75k household income even though overall life evaluation keep improving.
Two key details: (1) they asked people about their happiness yesterday, ie used remembered happiness (2) the x-axis is logarithmic, so each step is twice as big as the last (a bit like Richter scale for earthquakes) so money matters less the more you have. Which makes sense.
Okay. To the new paper. It has some major methodological improvements over KD (2010). It uses a smartphone app to ask people how they feel right now (no memory issues), has multiple observations per person, and uses a continuous scale (rather than just Yes/No—greater precision).
Its headline finding is that happiness and life satisfaction increase past $75k household income. Note it’s a straight line, but (again) a plot of the relationship between happiness and log(income). But, nevertheless impressive, non?
Here are some (mistaken) conclusions one might draw: (1) money makes a big difference to happiness (2) you should go work at @GoldmanSachs to become happier (a consequence of (1)).
The X-axis spans a huge range - $15k to $480k—and the changes in the Y-axis are tiny. They are reported in ‘z-scores’. z-score of 1 means a 1 ‘standard deviation’ increase. This is how social scientists talk but both terms are meaningless unless you are familiar with statistics.
A doubling of income is associated with nearly a 0.1 standard deviation increase in happiness. In plain English, that’s tiny increase. Something you’d barely notice. @jonaslindeloev has an excellent thread [Dhruv: and blog post] on this.
But there’s more. Here’s the same headline graph, but plotting the relationship between z-score changes in well-being and income NOT using a log scale—courtesy of my colleague @JoelMcGuire12 at @HappierLivesIns—not so impressive anymore, am I right?
The paper also explores if the headline increase in happiness is caused by more positive feelings or fewer negative feelings and conducted a more detailed analysis using a smaller sample. But if you look at the last three points on fig. 2, there is no improvement after $240k.
You might think “okay, so $240k household income is the limit, not $75k, that’s my new target”. But here’s the kicker, what all the other twitter discussions I’ve seen have missed: the data indicate that money by itself makes almost no difference.
The study also asked people “To what extent is money important to you?” and found that was much more important than money itself: money has a much bigger effect on happiness if you *think* money is important (although the effect is still small). Quote:
AND it found people who equate success with money are less happy. Hence, the conclusion is misleading. Better to say that money makes very little difference, except for those who think it does—and even for then it’s still small. Don’t go to @GoldmanSachs unless you want to!
Epilogue: it is a bit puzzling that money has, in reality, so little impact. One of my favourite papers is “If money doesn’t make you happy, then you probably aren’t spending it right.”
One suggestion is that people help others more for their own happiness. On top of the personal benefit, I think there’s a strong ethical case for helping, and doing the most good when you do. If those interested, see the #effectivealtruism movement: https://effectivealtruism.org